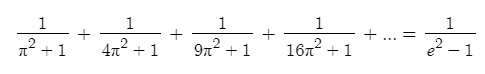
/r/math에서 저런 식을 봤는데, 이 식을 올린 유저는 아래와 같이 풀었다며 과정을 올렸다.

보다시피 무한한 항의 곱을 미분하면서 수렴 조건을 따지지 않고 공식을 그냥 써버려서 엄밀하지 못한 풀이임. 이 리플 밑으로 달린 리플들:

“‘오일러는 항을 재배치해서 바젤 문제를 풀었고 우리가 그런 짓을 하면 -1/12같은 결과를 얻는다.’ – 복소해석 교수님”
참고로 이 식은 다음과 같이 보일 수 있다. StackExchange에 올라온 답변을 정리한 내용. 를 푸리에 전개하면
를 얻고, 여기에
를 대입하면
로부터
을 얻는다.
트윗을 정리. (2018/10/27)
